上一题下一题
跳转到
 
 
  世界如此多姿,发展如此迅速,窥一斑未必还能知全豹。但正如万花筒一样,每一个管窥都色彩斑斓。  
 
 
  知识通道 | 学习首页 | 教师首页 | PK首页 | 知识创造首页 | 企业首页 | 登录
 
本文对应知识领域
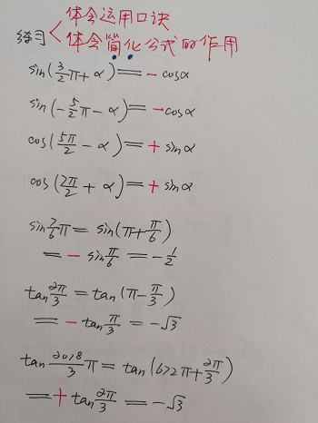
用口诀记简化公式
作者:蒙丽 申领版权
2017年12月18日 共有 2219 次访问 【添加到收藏夹】 【我要附加题目
受欢迎度:


 

相关新闻

正切函数
余弦函数
求正弦函数的周期
正弦函数(2)
正弦函数(1)
计算并熟记常用三角函数值
常用角的正弦值
简化公式
同角三角比的关系

您可能对这些感兴趣  

正切函数
余弦函数
求正弦函数的周期
正弦函数(2)
正弦函数(1)
计算并熟记常用三角函数值
常用角的正弦值
简化公式
同角三角比的关系
任意角三角比的符号

题目筛选器
日期:
类型:
状态:
得分: <=
分类:
作者:
职业:
关键字:
搜索

 
 
 
  焦点事件
 
  知识体系
 
  职业列表
 
 
  最热文章
 
 
  最多引用文章
 
 
  最新文章
 
 
 
 
网站介绍 | 广告服务 | 招聘信息 | 保护隐私权 | 免责条款 | 法律顾问 | 意见反馈
版权所有 不得转载
沪ICP备 10203777 号 联系电话:021-54428255
  帮助提示    
《我的太学》是一种全新的应用,您在操作中遇到疑问或者问题,请拨打电话13564659895,15921448526。
《我的太学》